Characterization of the pscC (Type III secretion) gene of Pseudomonas aeruginosa (PA01) and assessment of immunogenicity of pscC protein in rats

Md Safiul Alam Bhuiyan, Hafiza Sultana, Kenneth Francis Rodrigues, Fernandes Opook

DOI: 10.7324/JABB.2017.50106Pages: 035-041

Graphical Abstract

Antibacterial activity of leaf extract of Chromolaena odorata and the effect of its combination with some conventional antibiotics on Pseudomonas aeruginosa isolated from wounds

P. Odinakachukwu Omeke, J. Okechukwu Obi, N. A. Ibuchukwu Orabueze, Anthony Chibuogwu Ike

DOI: 10.7324/JABB.2019.70307Pages: 36-40

Graphical Abstract

Phenotypic Demonstration of ß-lactamase (ESßLs, MßLs, and Amp-C) among MDR Pseudomonas aeruginosa isolates obtained From Burn wound infected in Yemen

Mahfuoz Nasser, Arun S. Kharat

DOI: 10.7324/JABB.2019.70605Pages: 31-34

Graphical Abstract

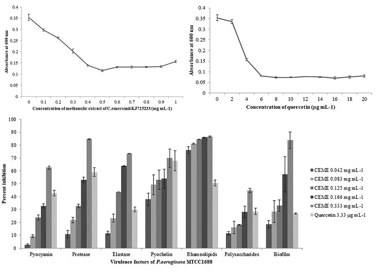
A novel strategy for disarming quorum sensing in Pseudomonas aeruginosa-Chlorella emersonii KJ725233

Sneha Sawant Desai, Reema Devi Singh, Sukhendu B Ghosh, Varsha Kelkar

DOI: 10.7324/JABB.2020.80510Pages: 78-83

Graphical Abstract

The effect of Staphylococcus epidermidis cells on Pseudomonas aeruginosa-associated virulence factors

Suhaga Dohare, Devendra Singh, Deepmala Sharma, Vishnu Agarwal

DOI: 10.7324/JABB.2021.96015Pages: 122-127

Graphical Abstract

Utilization of biosurfactant produced by Pseudomonas aeruginosa strain LTR1 for the synthesis of the silver nanoparticles and their application as antimicrobial agents

Nitin Deshmukh, Dilip Kadam, Pravin Deshmukh, Gunderao Kathwate

DOI: 10.7324/JABB.2022.100205Pages: 35-41

Graphical Abstract

Phenotypic and genotypic detection of Beta-lactamase producing Pseudomonas aeruginosa isolated from Haryana, India

Khem Chand, Amit Lath, Aparna Yadav, Madhu Sharma, Nater Pal Singh, Sanjay Kumar, Rajiv Yadav, Sawraj Singh, Anita Rani Santal

DOI: 10.7324/JABB.2024.171575Pages: 81-88

Graphical Abstract

Identification of novel potential anti-quorum sensing molecules against LasR of Pseudomonas aeruginosa using in silico approach

Vivek Kumar, Anmol Srivastava, Deepmala Sharma, Vishnu Agarwal

DOI: 10.7324/JABB.2024.169848Pages: 177-183

Graphical Abstract