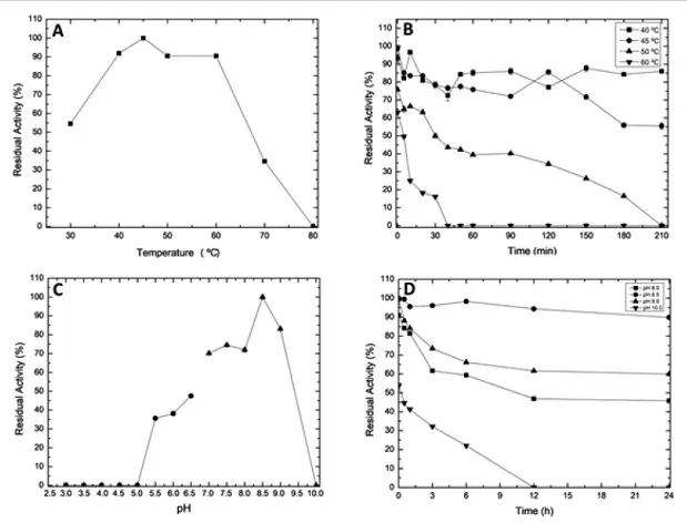
Purification and characterization of an iron-activated alkaline phosphatase produced by Rhizopus microsporus var. microsporus under submerged fermentation using rye flour

Pedro Henrique de Oliveira Ornela, Luis Henrique Souza Guimarães

DOI: 10.7324/JABB.2020.80403Pages: 16-25

Graphical Abstract

Media optimization for the production of alkaline protease by Bacillus cereus PW3A using response surface methodology

Gururaj B. Tennalli, Soumya Garawadmath, Lisa Sequeira, Shreya Murudi, Vaibhavi Patil, Manisha N. Divate, Basavaraj S. Hungund

DOI: 10.7324/JABB.2022.100403Pages: 17-26

Graphical Abstract

Thermal treatment and inhibition study with non-toxic product of polyphenol oxidase from Mediterranean Palm heart (Chamaerops humilis L.)

Abdelaziz Bouchaib, Abdellatif Ben Abdellah, Tarik Chafik, Amine Laglaoui, Abdelhay Arakrak, Mohamed Bakkali, Abdelaziz Benjouad, Amal Maurady

DOI: 10.7324/JABB.2024.160918Pages: 191-197

Graphical Abstract