1. INTRODUCTION
Diabetes mellitus is a chronic metabolic disorder characterized by both postprandial and fasting hyperglycemia with disturbed carbohydrate fat and protein metabolism. According to the recent report of Indian Council for Medical Research, Institute for Health Metrics and Evaluation and Public Health Foundation, India, diabetes prevalence has increased by 64% across India over quarter century with a figure expected to reach 134 million by 2025. India currently represents 49% of the world’s diabetes burden, which poses a serious public health challenge to a country [1]. The logical therapeutic approach used for management of diabetes is to decrease postprandial hyperglycemia. This can be achieved by delaying the absorption of glucose through the inhibition of carbohydrate hydrolyzing enzymes in the digestive tract.
Pancreatic alpha-amylase (PAA) is the principal carbohydrate hydrolyzing enzyme located in the brush border of small intestine. It catalyzes breakdown of the complex dietary carbohydrates (starch) into easily absorbable monosaccharides (glucose) or disaccharides (maltose). Inhibitors of α-amylase activity reduce the glucose levels slowing down the speed of starch to glucose or simple sugar conversion. Hence, α-amylase inhibitors are used as drug targets in the development of anti-diabetic drugs. Some inhibitors of α-amylase, currently in the clinical use are acarbose and miglitol. However, these synthetic hypoglycemic agents are non-specific, produce serious side effects, and fail to elevate diabetic complications. The associated side effects of these inhibitors are bloating abdominal discomfort, diarrhea, and flatulence [2].
In this regard, drug, diet, and recently included spice therapies are major approaches used for the treatment and management of DM [3]. A number of medicinal plants, traditionally used for over 1,000 years named rasayana are present in herbal preparations of Indian traditional health care systems. These alternative medicines are not only used by the rural masses for their primary health care in developing countries but are also used in developed countries where modern medicines dominate [4].
Spices are the integral part of Indian food which impart distinctive flavor and aroma to food. The chemical profile of spices showed presence of various phytochemicals such as glucosides, phenolics, saponins, flavonoids, alkaloids, coumarins, terpenoids, etc. These phytochemicals are expected to contribute for pharmacological properties of spices [5,6]. It is also known that dietary spices drive diverse metabolic and physiological actions in gastrointestinal, cardiovascular, reproductive and nervous systems, and exert beneficial health effects [3]. In the present study, we have screened benzene, methanol, ethyl acetate, chloroform, and aqueous extracts of six different spices routinely used in Indian cooking for the presence of α-amylase inhibitors. The details of selected spices along with their parts used are listed in Table 1. The lead extracts were used for determining their IC50 values, as well as mode of α-amylase inhibition.
![]() | Table 1: Spices and their parts used for screening of anti-amylase activity. [Click here to view] |
2. MATERIALS AND METHODS
All spices that were used in this study (Table 1) were obtained from local market of Nanded (M.S), India. Porcine PAA and Acarbose were procured from Sigma Aldrich Co. (St. Louis, USA), while soluble starch and dinitro salicylic acid (DNSA) were obtained from HiMedia (Mumbai, India). Other chemicals and solvents were of analytical grade.
2.1. Preparation of Spice Extracts
Parts of different spices were washed with water to remove all impurities, dried under shade, and grounded to fine powder. The powdered spices were divided into six portions and each portion was individually extracted with hot water, methanol, chloroform, benzene, and ethyl acetate in 1:10 ratio. The resulting blends were collected, filtered, and evaporated in a rotary evaporator. Dried extracts were weighed and dissolved in dimethyl sulphoxide to yield stock solutions from which various concentrations of extracts were prepared.
2.2. Qualitative Assay of α-amylase Inhibition
Modified well plate method described by Fossum and Whitaker [7] was used to detect α-amylase inhibitory activity of different spice extracts. Briefly, wells (5 mm) were made on sterile starch agar plates with the help of sterilized cork borer. Two hundred microliters of pancreatic α-amylase (10 mg/ml) was pretreated individually with 200 μl of different solvent extracts (2.5 mg/ml) of selected spices for 10 minutes. Such pretreated enzyme was loaded in wells (100 μl) and the plates were incubated overnight at 37°C. After incubation, plates were flooded with iodine solution and observed for clear starch hydrolysis zones against dark purple background. Amylase solution without pretreatment was used as positive control. Resulting zones of starch hydrolysis were measured and the extracts showing zones lesser than positive control well were selected for further study.
2.3. Quantitative Assay of α-amylase Inhibition
Quantitative α-amylase inhibition assay was performed as per the method described earlier [8]. Briefly, 200 μl of each extract (2.5 mg/ml) was mixed with 200 μl of α-amylase (10 mg/ml) and 500 μl of 0.1 M phosphate buffer (pH 7.0). This mixture was pre-incubated at room temperature for 10 minutes. After incubation, 500 μl of starch (0.25%) solution was added and incubated at room temperature for further 10 minutes. This was followed by addition of 1 ml DNSA reagent to stop the reaction and incubation in boiling water bath for 10 minutes. The reaction mixture was removed from water bath, cooled at room temperature, and diluted to 10 ml with distilled water. Absorbance of the mixture was taken at 540 nm. Amylase activity in absence of spice extracts was used as positive control for comparison. Acarbose (100 μg/ml), a known α-amylase inhibitor, was used as a standard drug. Each experiment was performed in triplicate and the results are interpreted as mean. The percentage inhibition in amylase activity was calculated by using the following formula.
The extracts showing more than 50% inhibition were selected to study amylase inhibition at varying concentrations. The enzyme was pretreated with 200 μl of different concentrations (1–10 mg/ml) of spice extracts individually and the activity was determined as stated earlier. Concentrations of extracts resulting in 50% inhibition in amylase activity (IC50) were determined by using regression analysis.
2.4. Mode of α-amylase Inhibition
The method for determining the mode of inhibition of α-amylase in presence of spice extracts involved pre-incubation of 200 μl of α-amylase solution with selected spice extracts at room temperature for 10 minutes. Control was prepared by pre-incubating α-amylase with 200 μl of phosphate buffer (pH 7.0). Reaction was started with addition of starch solution at increasing concentration (0.025%–0.25%). The reaction mixture was incubated for 10 minutes at room temperature and terminated by addition of 1 ml of DNSA. The contents were placed in boiling water bath for 10 minutes and diluted 10 ml with distilled water. The amount of reducing sugars released during reaction was determined spectrophotometrically at 540 nm. The concentration of reducing sugars was determined using standard curve of maltose. The concentrations of reducing sugar obtained such were converted to reaction velocities. The mode of α-amylase inhibition by the extract was determined by plotting a double reciprocal (Line weaver-Burk) plot between reaction velocity (1/V) and starch concentration (1/[S]) using Michaelis Menten kinetics. The changes in the values of Vmax and Km over control were considered to reveal inhibition mode of extract as explained earlier [9].
| Table 2: Amylase inhibitory activity of selected spices on starch agar plate. [Click here to view] |
3. RESULTS AND DISCUSSION
Alpha amylase is the key digestive enzyme involved in the process of starch metabolism [10]. Inhibitors of such enzyme, therefore, can play an important role in the management of diabetes-related complications. Natural alpha-amylase inhibitors from food-grade herbal sources offer an attractive therapeutic approach to the treatment of postprandial hyperglycemia by decreasing glucose release from starch, which may be potentially useful in the treatment of diabetes mellitus and obesity [11]. In the present study, six dietary spices, namely, cinnamon, cumin, fennel, fenugreek, clove, and nutmeg were selected and α-amylase inhibitory activity in different parts (seeds, bark, and bud) of them was determined both qualitatively and quantitatively. Qualitative detection of anti-amylase activity was done by using starch agar plate assay and results were recorded in terms of diameters of starch hydrolysis zones in the presence and absence of extracts. Of the different spice extracts screened, benzene extracts of cinnamon (7.0 mm) and nutmeg (10 mm) showed the lowest starch hydrolysis zone on the starch agar plate, indicating highest inhibition of α-amylase activity. The other extracts showed moderate to least α-amylase inhibition (Table 2).
The anti-amylase potential of different solvent extracts of spices was also determined quantitatively. The details of spices screened, solvent extracts used, and percent anti-amylase activity in them are summarized in Table 3. At 2.5 mg/ml concentration, 18 out of 30 extracts showed amylase inhibition capacity. Remaining 12 extracts although showed a reduction in starch hydrolysis zones as determined qualitatively (Table 2), did not show inhibition effectively under assay conditions. The detected range of inhibition in presence of 18 extracts was between 16.20% and 69.92%.
![]() | Table 3: Inhibition of amylase activity by solvent extracts of different spices at 2.5 mg/ml. [Click here to view] |
Benzene extract of cinnamon had the highest inhibition capacity, followed by benzene extracts of nutmeg (57.80%) whereas methanol extract of nutmeg showed least (16.20%) reduction in amylase activity among all extracts. Aqueous extracts of cinnamon have been reported to exhibit an appreciable inhibitory effect on pancreatic amylase by Sellami et al. [12] whereas, recently Bhutkar et al. [13] found 28.96% inhibition in amylase activity in presence of hot water extract of nutmeg seeds at 1,000 μg/ml concentration.
Nutmeg has shown to possess cytotoxic, hepatoprotective, antioxidant, anti-inflammatory, antithrombotic, hypolipidemic, anti-atherosclerotic, hypoglycemic, and antidiabetic activities [14–16]; however, its in vitro anti-amylase activity was less observed. 31.32% inhibition in amylase activity was observed in presence of 1 mg/ml ethanol extract of fenugreek leaves by Narkhede [17].
Clove is an aromatic flower bud, commonly used in Africa, Asia, and other parts of the world in preparation of various spicy rich dishes. It possesses antioxidant, anti-fungal, anti-viral, anti-microbial, anti-diabetic, anti-inflammatory, antithrombotic, anesthetic, pain relieving, and insect repellent properties [18]. Oboh et al. [19] investigated the effect of essential oil from clove bud on alpha-amylase and alpha-glucosidase activities and found a dose-dependent inhibition of amylase and glucosidase activities with EC50 values of 88.9 and 71.94 μl/l, respectively.
In the present study, we observed 52.29% inhibition in amylase activity in presence of chloroform extract of cumin seeds. The cumin seeds are also widely used as a spice due to their characteristic aroma and as a traditional medicine to treat diseases such as chronic diarrhea and dyspepsia, acute gastritis, diabetes, and cancer. The biological and biomedical activities of cumin are credited to its bioactive constituents as terpenes, phenols, and flavonoids [20]. Recently, Siow et al. [21] identified CSP4 and CSP6 as potent amylase inhibitory peptides from cumin seeds.
In all extracts of fennel, amylase inhibition was negligible or absent when studied quantitatively. Fennel is one of the widespread plants known for aromatic odor and high phenolic contents. Little information is available about its anti-diabetic properties. According to Abu-Zaiton et al. [22], extracted aerial parts of fennel with different solvents and tested in vitro potential of extracts to inhibit activities of angiotensin-converting enzyme, alpha amylase, and alpha glucosidase. Methanol: acetone: water (1:1:1) and methanol: acetone (1:1) were found suitable to extract active metabolites required for maximum inhibition of these enzymes. As we have not used methanol, acetone, or water in combination, it is possible that the active metabolites might not be extracted in required amounts needed for the inhibition of porcine pancreatic α-amylase (PPA) activity.
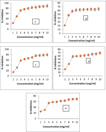
![]() | Figure 1: Amylase inhibitory activity of benzene extract of cinnamon (a), nutmeg (b), and clove (c), chloroform extract of cumin (d), and benzene extract of fenugreek (e) at varying concentrations (1–10 mg/ml). [Click here to view] |
The five extracts, including benzene extract of cinnamon, clove, fenugreek, and nutmeg and chloroform extract of cumin showed inhibition potential above 50% and were tested for their activity at varying concentrations (1–10 mg/ml). Neither extract of fennel was able to inhibit amylase activity at selected concentration level. Acarbose at 100 μg/ml concentration showed 51.69% inhibitory effects on the α-amylase activity. All selected extracts showed a concentration-dependent increase in enzyme inhibition at the initial level with the curve approaching to minimal change at higher concentrations of extracts (Fig. 1a–e).
![]() | Table 4: Inhibitory concentration (IC50) value of spice extract on alpha-amylase. [Click here to view] |
| Table 5: Km and Vmax values of extract of spices and their mode of inhibition. [Click here to view] |
Analysis of the dose-response curves of selected extracts for determining their IC50 values showed that benzene extract of cinnamon contained the most potent alpha-amylase inhibitor with an IC50 value of 2.09 ± 0.12 mg/ml, followed by an effective inhibition determined in presence of other selected extracts with IC50 values ranged between 2.25 ± 0.28 mg/ml and 2.89 ± 0.079 mg/ml (Table 4). Sellami et al. [12] reported anti-amylase activity of both bark (IC50: 214 ± 2 μg/ml–215 ± 10 μg/ml) and leaf (IC50: 943 ± 28 μg/ml) of Ceylon cinnamon. Previous investigation on α-amylase inhibitory activity of bark of some economically important Cinnamomum species such as C. zeylanicum, C. aromaticum, and C. loureiroi showed their anti-amylase activity with IC50 values 1.23 ± 0.02 mg/ml, 1.77 ± 0.05 mg/ml, and >4.00 mg/ml, respectively [10]. The discrepancy observed between present study and previous investigations on anti-amylase activity may be due to the use of different solvents, extraction procedures, and source of α-amylase.
For determining the mode of inhibition of α-amylase by crude extracts of spices, α-amylase activity was determined both in the presence and absence of selected extracts at different substrate concentrations. The mode of inhibition of all these five extracts on alpha-amylase activity was determined using Line weaver-Burk plot (data not shown) which indicated that these extracts displayed non-competitive inhibition modes on the enzyme activity (Table 5). In presence of all tested extracts, the values of apparent Km remain unchanged while reducing the Vmax. This suggests that there is no competition between extract and substrate for binding with the active site of amylase and they reduce the activity of the enzyme by binding to free or substrate bound enzyme.
4. CONCLUSION
These findings suggest that although all selected extracts are commonly used in Indian food and their medicinal properties are known to some extent, but very few studies reported their PPA inhibitory potential. In the present study, we have not ascertained the chemical nature of the phytoconstituents responsible for PPA inhibitory activity and the active lead molecules need to be isolated and characterized through in vitro and in vivo studies. While some of the spice extracts used in this study showed negligible or no inhibition against PPA, five extracts exhibited good enzyme inhibitory activity. Hence, these extracts can be used to lower the postprandial high glucose levels by inhibiting PPA activity.
REFERENCES
1. Diabetes is India’s fastest growing disease: 72 million cases recorded in 2017, figure expected to nearly double by 2015. Indiaspend, April 17, 2018.
2. Cheng AY, Fantus IG. Oral antihyperglycemic therapy for type 2 diabetes mellitus. Can Med Assoc J 2005;172(2):213–26. CrossRef
3. Khan A, Safdar M, Ali Khan MM, Khattak KN, Anderson RA. Cinnamon improves glucose and lipids of people with type 2 diabetes. Diabetes Care 2003;26(12):3215–8. CrossRef
4. Ballabh B, Chaurasia OP. Traditional medicinal plants of cold desert Ladakh-Used in treatment of cold, cough and fever. J Ethnopharmacol 2007;112(2):341–5. CrossRef
5. Tiwari R, Das K, Shrivastava DK. Techniques for evaluation of medicinal plant products as antimicrobial agent: current methods and future trends. J Med Plants Res 2010;4(2):104–11.
6. Pundir RK, Jain P, Sharma C. Antimicrobial activity of ethanolic extracts of Syzygium aromaticum and Allium sativum against food associated bacteria and fungi. Ethnobot Leaflets 2010;14:344–60.
7. Fossum K, Whittaker JR. Simple method for detecting amylase inhibitors in biological materials. J Nutr 1974;104(7):930–6. CrossRef
8. Stephen AA, Oboh G. Inhibition of key enzymes linked to type 2 diabetes and sodium nitroprusside-induced lipid peroxidation in rat pancreas by water extractable phytochemicals from some tropical spices. Pharm Biol 2012;50(7):857–65. CrossRef
9. Bhosale H, Uzma S, Kadam T. Substrate kinetics of thiol activated hyperthermostable alkaline lipase of Bacillus sonorensis 4R and its application in bio-detergent formulation. Biocatal Agric Biotechnol 2016;8:104–11. CrossRef
10. Adisakwattana A, Lerdsuwankij O, Poputtachai U, Minipun A, Suparpprom C. Inhibitory activity of cinnamon bark species and their combination effect with acarbose against intestinal α-glucosidase and pancreatic α-amylase. Plant Foods Human Nutr 2011;66(2):143–8. CrossRef
11. McCue PP, Shetty K. Inhibitory effects of rosmarinic acid extracts on porcine pancreatic amylase in vitro. Asia Pac J 2004;13:101–6.
12. Sellami M, Louati H, Kamoun J, Kchaou A, Damak M, Gargouri Y. Inhibition of pancreatic lipase and amylase by extracts of different spices and plants. Int J Food Sci Nutr 2017;68(3):313–20. CrossRef
13. Bhutkar MA, Somnath DB, Dheeraj SR, Ganesh HW, Sachin ST. In vitro studies on alpha amylase inhibitory activity of some indigenous plants. Modern Appl Pharm Pharmacol 2018;1(4):1–5. CrossRef
14. Morita T, Jinno K, Kawagishi H, Arimoto Y, Suganuma H, Inakuma T, et al. Hepatoprotective effect of myristicin from nutmeg (Myristica fragrans) on lipopolysaccharide /d-galactosamine- induced liver injury. J Agric Food Chem 2003;51(6):1560–5. CrossRef
15. Dorman HJD, Surai P, Deans SG. In vitro antioxidant activity of a number of plant essential oils and phytoconstituents. J Essential Oil Res 2000;7(6):241–8. CrossRef
16. Olajide OA, Makinde JM, Awe SO. Evaluation of the pharmacological properties of nutmeg oil in rats and mice. Pharm Biol 2000;38(5):385–90. CrossRef
17. Narkhede MB. Evaluation of alpha amylase inhibitory potential of four traditional culinary leaves. Asian J Pharm Clin Res 2012;5(2):75–6.
18. Parle M, Khanna D. Clove: a champion spice. Int J Res Ayurveda Pharm 2011;2(1):47–54.
19. Oboh G, Akinbola IA, Ademosun AO, Sanni DM, Odubanjo OV, Olasehinde TA, et al. Essential oil from clove bud (Eugenia aromatica Kuntze) inhibit key enzymes relevant to the management of type-2 diabetes and some pro-oxidant induced lipid peroxidation in rats pancreas in vitro. J Oleo Sci 2015;64(7):775–82. CrossRef
20. Mnif S, Aifa S. Cumin (Cuminum cyminum L.) from traditional uses to potential biomedical applications. Chem Biodiver 2015;12:733–42. CrossRef
21. Siow HL, Lim TS, Gan CY. Development of a workflow for screening and identification of α-amylase inhibitory peptides from food source using an integrated Bioinformatics-phage display approach: case study—Cumin seed. Food Chem 2017;214:67–76. CrossRef
22. Abu-Zaiton A, Alu'datt M, Wafa MA. Evaluating the effect of Foeniculum Vulgare extract on enzymes related with blood pressure and diabetes (in vitro study). Int J Adv Chem Eng Biol Sci 2015;2(2):77–80. CrossRef



