In Vietnam, bread is one of the most commonly consumed foods on a daily basis. However, bread mainly provides energy, the micronutrient content in breads is often low [1]. Gac fruit (Momordica cochinchinensis spreng) is widely grown in Southeast Asian countries [2], they have been used as food and medicine for a long time due to the very good properties that Gac fruit possesses [3].
In Vietnam, Gac aril have also been used for the purpose of improving eyesight and reducing dry eyes, because they have been shown to contain particularly high levels of lycopene and β-carotene [4,5]. Studies have published that Gac fruit contains 10 times more β-carotene than carrots or sweet potatoes [6], the highest β-carotene content of all other fruits, about 84–720 μg/g of Gac aril, lycopene content was about 380–2300 μg/g, which has been shown to be 70 times higher than that of tomatoes [7]. Other studies also showed that some chemical components of Gac have broad pharmacological activities, such as anti-tumor, anti-oxidant, and anti-inflammatory [8].
Many studies have investigated the possibility of replacing wheat flour with other flours to increase the good nutritional components of this product [9,10]. Bread was produced from wheat flour, corn and orange flesh sweet potato [11], unbreaded wheat and rice bran [12], and bread produced from wheat flour in combination with plantain and soybeans [13]. Bread fortification with whole green banana flour was studied by Khoozani et al. [14]. Guardado-Félix et al. [15] investigated the effect of partial replacement of wheat flour with sprouted chickpea flours in bread making. Bread fortified with moringa seed powder was also studied to increase both the micro and macronutrient of conventional bread [1].
The alarming nutritional status of children in rural Vietnam is chronic vitamin A deficiency. Nutrition intervention programs have been implemented such as vitamin A capsules. However, this is not a solution. In the long term, food-based interventions are considered part of an effective strategy to reduce vitamin A deficiency. Research on the addition of Gac to sandwiches is still unknown, both in Vietnam and around the world. Therefore, the addition of Gac aril and also fiber from Gac can significantly improve the nutritional quality of sandwiches made from a mixture of wheat flour and Gac aril.
Besides, yeast and the necessary amount of added sugar are two important ingredients that affect the quality of sandwiches. During fermentation in sandwich technology, yeast uses sugar to produce carbon dioxide and ethyl alcohol.
In the manufacture of bread, sugar is added to feed the yeast. The yeast Saccharomyces cerevisiae makes efficient use of maltose in the dough, resisting the osmotic stress caused by the semi-solid state of the dough. Moreover, it is the high sugar content in some doughs that, when subjected to different processing conditions, give the desired aroma and taste to the finished product [16]. In baked goods, the sugar component interacts significantly with all other ingredients, for example, sugar also contributes to the browning reaction. During the preparation phase, sugar actively aids in the aeration of the dough and results in a characteristic soft cake [17].
Mutiple regression analysis was successful to optimize production process of various food as jam [18] and bread [19,20]. The study aims to determine the effect of simultaneous combination of Gac aril, sugar, and instant dry yeast on the quality (β-carotene, lycopene, and volume expansion) of sandwich bread. The optimal parameters were determined and verified to produce the high quality Gac–sandwich bread.
2. MATERIALS AND METHODS
2.1. Effect of Gac Aril, Instant Dry yeast, and Sugar on Sandwich Bread Quality
Gac fruit was harvested when the peel was completely red [5]. The Gac aril was collected, pureed, and frozen at −18°C for further research. Other ingredients used: wheat flour (Bakers’ Choice), salt, sugar, eggs, fresh milk, instant dry yeast (Mauripan), and margarine.
Prepare the ingredients according to the fixed weight, including flour 290 g, egg 60 g, butter 26 g, salt 3 g. Gac (5, 7 and 9%), sugar (8.6, 10.3 and 12%), and instant dry yeast (0.3, 0.4 and 0.5%), were added according to the experimental setup, in which percentage of Gac aril and sugar is calculated according to the weight of wheat flour and the percentage of yeast is calculated according to the total weight of all ingredients. Put all ingredients into automatic bread machine (PETRUS, China). Total time to make bread (including 4 times of stuffing, 3 times of fermentation and baking) is 3 h and 25 min. Baking temperature is 165°C. At the end of the process, the sandwich bread loaf was removed from the machine and analyzed for physical (expansion volume) and chemical parameters (β-carotene and lycopene). The sensory evaluation and analysis were followed by procedure of Thuy et al. [21,22].
2.2. Quality Analysis
The moisture content of the product was analyzed according to the AOAC standard method [23]. The β-carotene content was analyzed using the method of Fikselová et al. [24]. Lycopene was quantified according to the published method of Kakubari et al. [25]. Bread expansion is calculated through the volume ratio of the sandwich bread before baking and after finishing the product.
2.3. Statistical Analysis
Multiple regression was used to analyze the relationship between a dependent variable (β-carotene content, lycopene content, and volume expansion) and several independent variables (Gac aril, sugar, and yeast) (equations 1).
|
Where bo: Y intercept (constant), bn: regression coefficient for the linear effect of Xn on Y, bnn and bnm: regression coefficient for the quadratic effect on Y and Xn, Xm: independent values.
2.4. Data Analysis
Collected data were analyzed using STATGRAPHICS Centurion XV software (U.S.A.). Values are presented as mean ± SD.
3. RESULTS AND DISCUSSION
3.1. Effect of Gac, Sugar, and Yeast Supplements on β-Carotene, Lycopene Content, and the Volume Expansion of Sandwich Bread
In this study, Gac aril created beautiful natural color and provided high-value bioactive compounds for sandwich bread. Sugar adds sweetness and contributes to the browning of the bread. The main role of sugar in bread yeast is to provide food for the yeast. As yeast grows and multiplies, it uses sugars, forming by-products of carbon dioxide and alcohol, which gives bread its distinctive flavor. Sugar softens bread by preventing gluten from forming. It also keeps moisture in the finished product. The obtained data showed that the content of β-carotene, lycopene, and expansion volume of bread increased when increasing the amount of Gac aril from 5% to 7%. However, when continuing to increase the amount of Gac fruit to 9%, the expansion volume of the bread almost did not increase or decrease slightly; however, both β-carotene and lycopene content still increased slightly [Table 1].
Table 1: The content of β-carotene, lycopene, and volume expansion of sandwich bread varies with the content of Gac aril, sugar, and instant dry yeast used.
| Gac aril (%) | Sugar (%) | Instant dry yeast (%) | β-carotene content (µg/g) | Lycopene (µg/g) | Expansion volume (times) |
|---|---|---|---|---|---|
| 5 | 8.6 | 0.3 | 10.84±0.06 | 43.37±0.30 | 5.38±0.03 |
| 0.4 | 10.77±0.07 | 43.07±0.35 | 5.48±0.01 | ||
| 0.5 | 10.62±0.04 | 41.47±0.80 | 5.51±0.02 | ||
| 10.3 | 0.3 | 10.84±0.09 | 43.36±0.47 | 5.44±0.03 | |
| 0.4 | 10.72±0.02 | 42.88±0.67 | 5.48±0.04 | ||
| 0.5 | 10.61±0.04 | 41.43±1.16 | 5.54±0.07 | ||
| 12.0 | 0.3 | 10.99±0.03 | 43.96±0.15 | 5.24±0.03 | |
| 0.4 | 10.87±0.07 | 43.46±0.77 | 5.32±0.05 | ||
| 0.5 | 10.83±0.09 | 56.27±0.78 | 5.38±0.04 | ||
| 7 | 8.6 | 0.3 | 13.35±0.02 | 53.41±0.08 | 5.34±0.03 |
| 0.4 | 13.16±0.05 | 52.63±0.26 | 5.38±0.02 | ||
| 0.5 | 13.00±0.07 | 52.00±0.33 | 5.45±0.03 | ||
| 10.3 | 0.3 | 13.54±0.10 | 54.14±0.49 | 5.35±0.01 | |
| 0.4 | 13.48±0.11 | 53.94±0.86 | 5.44±0.03 | ||
| 0.5 | 13.39±0.06 | 53.54±0.67 | 5.51±0.01 | ||
| 12 | 0.3 | 13.50±0.09 | 54.01±0.47 | 5.22±0.02 | |
| 0.4 | 13.42±0.03 | 53.68±0.15 | 5.24±0.01 | ||
| 0.5 | 13.35±0.07 | 52.06±0.84 | 5.27±0.04 | ||
| 9 | 8.6 | 0.3 | 15.13±0.11 | 60.53±0.55 | 5.07±0.02 |
| 0.4 | 15.36±0.09 | 61.44±0.45 | 5.14±0.03 | ||
| 0.5 | 15.16±0.03 | 60.65±1.13 | 5.17±0.02 | ||
| 10.3 | 0.3 | 15.21±0.11 | 60.82±0.59 | 5.12±0.02 | |
| 0.4 | 15.14±0.08 | 60.55±0.58 | 5.15±0.02 | ||
| 0.5 | 15.12±0.10 | 60.49±1.08 | 5.22±0.01 | ||
| 12.0 | 0.3 | 15.41±0.09 | 61.63±0.45 | 4.91±0.02 | |
| 0.4 | 15.35±0.10 | 61.39±0.50 | 4.95±0.01 | ||
| 0.5 | 15.31±0.02 | 61.25±0.11 | 5.00±0.02 |
Mean±standard deviation.
Bread usually does not contain β-carotene and lycopene compounds, so it is completely dependent on the percentage of Gac supplement. Similarly, Wanjuu et al. [26] similarly reported that adding orange-fleshed sweet potatoes to bread also increased β-carotene content. The sucrose and yeast added to bread recipes have shown a significant effect. The right concentration of sugar will facilitate fermentation and increase the volume (cause swelling) of the dough. It was observed that the amount of sugar used from 8.6% to 10.3% caused the bread volume increased. However, at 12% of sugar content, the expansion tended to equalized or decreased [Table 1]. Excessive sugar content used in bread production can also adversely affect quality [27]. At high concentrations, sugar has the effect of weakening the gluten network by competing with gluten for the water content available in the dough. The higher sucrose concentration in the dough (about 30%) can cause severe osmotic stress on yeast cells, which damages the cell components and reduces their fermentability [28,29]. Sugar in bread production improves crust color through browning [30]. It also helps keep bread moist and is considered an emollient and flavor enhancer.
The percentage of yeast added significantly affected the volumetric expansion of bread, the volume of bread after baking increased from 5.23 to 5.34 times when the yeast content used increased from 0.3% to 0.5%. As mentioned, S. cerevisiae is responsible for fermenting and making the dough rise to form a loaf. After using the sugar, the yeast converts the sugar into ethanol and carbon dioxide [31], which inflates the air bubbles in the dough, causing the dough to rise.
3.2. Establish the Relationship between a Dependent Variables and Independent Variables Using Multivariable Regression Models
3.2.1.The content of β-carotene
Optimizing the parameters of Gac aril (%), sugar (%), and instant dry yeast (%) were performed by multivariable regression method. The statistical significance of the model after acquisition was tested through analysis of variance (ANOVA) [Table 2].
Table 2: Analysis of Variance for β-carotene.
| Source | Sum of squares | Df | Mean square | F-ratio | P-value |
|---|---|---|---|---|---|
| X1:Gac aril | 268.135 | 1 | 268.135 | 14043.04 | 0.0000 |
| X2:Sugar | 0.439 | 1 | 0.439 | 23.00 | 0.0000 |
| X3:Dried yeast | 0.330 | 1 | 0.330 | 17.27 | 0.0001 |
| X1X1 | 2.079 | 1 | 2.079 | 108.86 | 0.0000 |
| X1X2 | 0.0007 | 1 | 0.0007 | 0.04 | 0.848 |
| X1X3 | 0.056 | 1 | 0.056 | 2.93 | 0.093 |
| X2X2 | 0.007 | 1 | 0.007 | 0.38 | 0.538 |
| X2X3 | 0.004 | 1 | 0.004 | 0.21 | 0.649 |
| X3X3 | 0.006 | 1 | 0.006 | 0.31 | 0.580 |
| Lack-of-fit | 0.545 | 17 | 0.032 | 1.68 | 0.076 |
| Pure error | 1.031 | 54 | 0.019 | ||
| Total (corr.) | 272.633 | 80 | |||
| R2=99.42% | R2 (adjusted for d.f.) = 99.35% | Standard Error of Est. = 0.138 | |||
In this case, the four effects [Gac aril (X1), sugar (X2) and yeast (X3), and interact (X12)] show P value less than 0.05, indicating high confidence 95.0%. The analysis results also showed that there was no contribution of X1X2, X1X3, X22, X2X3, and X32 interactions to β-carotene content (P > 0.05). Therefore, unimportant terms can be removed from the model to improve the regression model and optimization results. Equation 2 of the fitted model is:
|
R2 = 99.39%, R2adj = 99.36%, SEE = 0.138
where: X1, X2, and X3 are the percentage of Gac aril, sugar, and instant dry yeast, respectively.
It was observed that the lack of fit P > 0.05 (Lack-of-fit is 0.1245-data not shown) is not significant, indicating that the model is fitted to all data [32]. The R-Squared statistic indicates that the model as fitted explains 99.39% of the variability in β-carotene. The adjusted R-squared statistic is 99.36%, which is more suitable for comparing models with different numbers of independent variables. Guan and Yao [33] suggested that the correlation model is good when the coefficient of determination of correlation R2 is >0.8. The combination of factor levels maximizes the β-carotene content on the specified region and the optimization is performed. It shows that the optimal value of β-carotene (15.41 mg/g) at the optimal values of Gac aril, sugar, and yeast is 9%, 12% and 0.3%, corresponding.
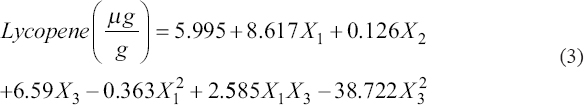
3.2.2. The content of lycopene
Humans cannot synthesize lycopene, so a dietary intake of lycopene is necessary to take advantage of its beneficial health properties. Many significant health benefits in lycopene, including its protective effects on cardiovascular diseases [34]. Lycopene plays an important role in chronic disease prevention according to published epidemiological, tissue culture, and animal studies [35]. The analysis of variance for lycopene content is presented in Table 3. It was observed that six effects had P < 0.05 (X1, X2, X3, X1X3, X12, and X32), indicating that they were significantly different (95% confidence level).
Table 3: Analysis of variance for lycopene content.
| Source | Sum of squares | Df | Mean square | F-ratio | P-value |
|---|---|---|---|---|---|
| X1:Gac aril | 4522.85 | 1 | 4522.85 | 11350.94 | 0.0000 |
| X2:Sugar | 2.470 | 1 | 2.470 | 6.20 | 0.0159 |
| X3:Dried yeast | 21.395 | 1 | 21.395 | 53.69 | 0.0000 |
| X12 | 37.845 | 1 | 37.845 | 94.98 | 0.0000 |
| X1X2 | 0.319 | 1 | 0.3192 | 0.80 | 0.3747 |
| X1X3 | 9.620 | 1 | 9.620 | 24.14 | 0.0000 |
| X22 | 0.098 | 1 | 0.098 | 0.25 | 0.6215 |
| X2X3 | 1.103 | 1 | 1.103 | 2.77 | 0.1020 |
| X32 | 2.699 | 1 | 2.699 | 6.77 | 0.0119 |
| Lack-of-fit | 11.356 | 17 | 0.668 | 1.68 | 0.0769 |
| Pure error | 21.517 | 54 | 0.398 | ||
| Total (corr.) | 4631.27 | 80 | |||
| R-squared=99.29% | R-squared (adjusted for d.f.)=99.20% | Standard Error of Est.=0.63 | |||
The unimportant terms were omitted and the equation (equation 3) of the fitted model is:
![]() |
R2 = 99.26%, R2adj = 99.20%, SEE = 0.631
Where: X1, X2, and X3 are the percentage of Gac aril, sugar, and instant dry yeast, respectively.
P-value of Lack-of-Fit >0.05 demonstrating that a good model was established with high R-Squared and adjusted R-squared values (99.26 and 99.20%, respectively). Similar to β-carotene, a combination of factor levels that maximized lycopene content in the indicated region was identified. The optimal lycopene content (μg/g) was obtained at the optimal concentrations of Gac aril (9%), sugar (12%), and yeast (0.385%).
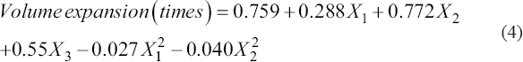
3.2.3. Volume expansion
Similarly, the results of ANOVA statistical analysis are shown in Table 4. Five effects (X1, X2, X3, X12, and X22) can be observed with P < 0.05. P-value for the lack of fit in the ANOVA table is >0.05, so the model showed a good fit with the observed data at the 95% confidence level. The unimportant terms (P > 0.05) are also removed; the equation is improved and shown in Equation 4.
Table 4: Analysis of variance for volume expansion.
| Source | Sum of squares | Df | Mean square | F-ratio | P-value |
|---|---|---|---|---|---|
| X1:Gac aril | 1.540 | 1 | 1.540 | 1143.55 | 0.0000 |
| X2:Sugar | 0.319 | 1 | 0.319 | 236.79 | 0.0000 |
| X3:Dried yeast | 0.163 | 1 | 0.163 | 121.28 | 0.0000 |
| X12 | 0.203 | 1 | 0.203 | 151.00 | 0.0000 |
| X1X2 | 0.0017 | 1 | 0.0017 | 1.29 | 0.2613 |
| X1X3 | 0.0020 | 1 | 0.0020 | 1.50 | 0.2255 |
| X22 | 0.236 | 1 | 0.236 | 175.60 | 0.0000 |
| X2X3 | 0.0009 | 1 | 0.0009 | 0.67 | 0.4173 |
| X32 | 0.0001 | 1 | 0.0001 | 0.08 | 0.7818 |
| Lack-of-fit | 0.017 | 17 | 0.00098 | 0.73 | 0.7611 |
| Pure error | 0.0727 | 54 | 0.00134 | ||
| Total (corr.) | 2.557 | 80 | |||
| R2=96.50% | R2(adjusted for d.f.) = 96.06% | Standard Error of Est. = 0.037 | |||
![]() |
R2 = 96.32%, R2adj = 96.07%, SEE = 0.037
It was observed that the model as fitted with high R2 and R2 adjusted values (96.32% and 96.07%, respectively) of the variability in volume expansion. With this model, the optimal (highest) volume expansion value obtained (5.57 times) was determined when processing under the condition of combining 3 optimal parameters of gac, sugar, and yeast, respectively, which are 5.41%, 9.73%, and 0.5%.
3.2.4. Simultaneous optimization of multiple responses
Multi-response graphic optimization is performed by overlaying the surfaces of each response by looking for intersection points between the optimal regions of each response. Contour plots facilitate this considerably; they exhibit responsive surface design, allowing for easier processing and verification of information [36].
In this study, the dependent variables were identified, including β-carotene (μg/g), lycopene (μg/g), and the volume expansion (times) were optimized separately using response surface methodology. Therefore, the independent variables have different optimal values. Desirability optimization should be performed to produce a combination of response surfaces to maximize beta-carotene, lycopene, and volume expansion with the same optimal values of Gac aril, sugar and dry yeast. Contour plot showing the effects of gac aril, sugar, and yeast on β-carotene, lycopene, and volume gain optimized with an asterisk (*), as shown in Figure 1. For each figure, one variable is fixed; the fixed contents of dry yeast, sugar, and Gac aril are shown in Figure 1a-c, respectively.
![]() | Figure 1: The overlay plot of β-carotene, lycopene, and volume expansion of bread and optimum value*: (a) instant dry yeast 0.4%; (b) sugar 10.6%; and (c) Gac aril 7%. [Click here to view] |
To get the highest values of β-carotene (14.78 μg/g), lycopene (59.14 μg/g), and expansion volume (5.3 times), the optimal values of Gac aril, sugar, and instant dry yeast should be used 8.55%, 9.76%, and 0.5%.
The optimal value of sugar content obtained from this study is quite similar to the study results of Campbell et al. [37], they reported that the concentration of added sugars in bread flour varied from zero to about 8% or slightly higher. However, the optimal concentration of dry yeast optimized in this study was much lower than in the previous study. Birch et al. [38] suggested a high yeast concentration of 6% for low-temperature fermentation (5°C) to produce bread in a short production time.
This difference is probably due to the type of yeast used and the different processing conditions. To test the optimal values found from the predictive models, sandwich bread was processed according to the optimal parameters, including Gac aril 8.55%, sugar 9.76%, and dry yeast 0.5%. The experimental results showed that β-carotene, lycopene, and volume expansion values of bread are close to the results predicted from the model, only 2.4 to 3.1% difference [Table 5], where β-carotene and lycopene were 2.4% and 3.1% higher, respectively, while the expansion volume was 2.6% lower than predicted. These differences are within the allowable limit (<5%).
Table 5: Predicted and actual value of responses from optimal conditions.
| Parameters | Predicted values | Actual values |
|---|---|---|
| β-carotene (µg/g) | 14.78 | 15.13±0.09 |
| Lycopene (µg/g) | 59.14 | 60.97±0.48 |
| Volume expansion (times) | 5.30 | 5.16±0.05 |
Mean±SD
Overall organoleptic evaluation showed that the M2 (8.55% Gac aril) and M3 (9% Gac aril) samples [Figure 2] scored the highest of all recipes, showing 8.55–9% of the Gac aril supplementation as the preferred levels in sandwich bread making. The preference mapping also showed similar results [Figure 3]. Bread samples were evaluated according to preference scores. The results from the preference mapping again confirmed that formula M2 and M3 are the most preferred by consumers (80–100%). Sample M1 received a relatively moderate preference (40%) and the control sample received the lowest acceptance from consumer.
![]() | Figure 2: Sandwich breads have been supplemented with 8.55% (M2 – left side) and 9% Gac aril (M3 – right side). [Click here to view] |
![]() | Figure 3: Preference mapping of sandwich bread with different formulas. M0: Control sample (Without Gac aril addition); M1: 7% Gac aril; M2: 8.55% Gac aril, and M3: 9% Gac aril. [Click here to view] |
Bread is a popular food all over the world, these research results have added to the processing technology of high quality bread, with higher β-carotene and lycopene content than traditional product (as mentioned above). This new type of bread not only serves the daily needs of people but also support good health. The effects of other ingredients (yeast and sugar) on quality support (volume expansion) besides Gac composition were also identified.
4. CONCLUSION
The obtained results confirmed that the addition of 8.55–9% Gac aril could be an effective way to enhance the nutrition (β-carotene and lycopene) content of sandwich bread. The special feature in this study is that the carotenoids and the volume expansion of the sandwich bread increased when the appropriate combination of Gac aril, sugar, and instant dry yeast. High sensory scores were obtained with bread containing 8.55% and 9% Gac aril compared with the control sample (without Gac addition). Based on these findings, Gac aril has a natural colorant, a potential functional food ingredient, and could become a high-quality source for the production of healthful foods. This also showed a new use and the ability to develop a combination of Gac aril in the sandwich manufacturing industry, effectively taking advantage of the rapidly growing Gac fruit in some localities in Vietnam and supporting the improvement of economic efficiency of the region.
5. ACKNOWLEDGMENT
The authors would like to thank Can Tho University for providing financial support.
6. AUTHORS’ CONTRIBUTIONS
All authors made substantial contributions to conception and design, acquisition of data, or analysis and interpretation of data; took part in drafting the article or revising it critically for important intellectual content; agreed to submit to the current journal; gave final approval of the version to be published; and agreed to be accountable for all aspects of the work. All the authors are eligible to be an author as per the International Committee of Medical Journal Editors (ICMJE) requirements/guidelines.
7. FUNDING
This study is funded in part by the Can Tho University, Code: T?H2022-08.
8. CONFLICTS OF INTEREST
The authors report no financial or any other conflicts of interest in this work.
9. ETHICAL APPROVALS
This study does not involve experiments on animals or human subjects.
10. DATA AVAILABILITY
All data generated and analyzed are included within this research article.
11. PUBLISHER’S NOTE
This journal remains neutral with regard to jurisdictional claims in published institutional affiliation.
REFERENCES
1. Bolarinwa IF, Aruna TE, Raji AO. Nutritive value and acceptability of bread fortified with moringa seed powder. J Saudi Soc Agric Sci 2019;18:195-200. [CrossRef]
2. Chuyen HV, Nguyen MH, Roach PD, Golding JB, Parks SE. Gac fruit (
3. Wimalasiri D, Dekiwadia C, Fong SY, Piva TJ, Huynh T. Anticancer activity of
4. Aoki H, Kieu NT, Kuze N, Tomisaka K, Chuyen NV. Carotenoid pigments in GAC fruit (
5. Thuy NM, Tuyen NT. Development of New Food Products from “Gac“(
6. Ishida BK, Turner C, Chapman MH, McKeon TA. Fatty acid and carotenoid composition of gac (
7. Vuong LT, Franke AA, Custer LJ, Murphy SP.
8. Lan HY, Zhao B, Shen YL, Li XQ, Wang SJ, Zhang LJ,
9. Oyeku OM, Kupoluyi CF, Osibanjo HA, Orji CU, Ajuebor FN, Ajiboshin IO,
10. Udofia PG, Udoudo PJ, Eyen NO. Sensory evaluation of wheat-cassava-soybean composite flour (WCS) bread by the mixture experiment design. Af J Food Sci 2013;7:368-74. [CrossRef]
11. Bibiana I, Grace N, Julius A. Quality evaluation of composite bread produced from wheat, maize and orange fleshed sweet potato flours. Am J Food Sci Technol 2014;2:109-15. [CrossRef]
12. Ameh MO, Gernah DI, Igbabul BD. Physico-chemical and sensory evaluation of wheat bread supplemented with stabilized undefatted rice bran. Food Nutr Sci 2013;4:43. [CrossRef]
13. Olaoye OA, Onilude AA, Idowu OA. Quality characteristics of bread produced from composite powders of wheat, plantain and soybeans. Afr J Biotechnol 2006;5:1102-6.
14. Khoozani AA, Kebede B, Birch J, El-Din Ahmed Bekhit A. The effect of bread fortification with whole green banana flour on its physicochemical, nutritional and
15. Guardado-Félix D, Lazo-Vélez MA, Pérez-Carrillo E, Panata-Saquicili DE, Serna-Saldívar SO. Effect of partial replacement of wheat flour with sprouted chickpea flours with or without selenium on physicochemical, sensory, antioxidant and protein quality of yeast-leavened breads. LWT 2020;129:109517. [CrossRef]
16. Lahue C, Madden AA, Dunn RR, Heil CS. History and domestication of
17. Sahin AW, Zannini E, Coffey A, Arendt EK. Sugar reduction in bakery products:Current strategies and sourdough technology as a potential novel approach. Food Res Int 2019;126:108583. [CrossRef]
18. Thuy NM, Tan HM, Tai NV. Optimization of ingredient levels of reduced-calorie blackberry jam using response surface methodology. J Appl Biol Biotechnol 2022;10:68-75.
19. Mihajlovski K, Rajili?-Stojanovi?M, Dimitrijevi?-Brankovi?S. Enzymatic hydrolysis of waste bread by newly isolated
20. Piechowiak T, Grzelak-B?aszczyk K, Bonikowski R, Balawejder M. Optimization of extraction process of antioxidant compounds from yellow onion skin and their use in functional bread production. LWT 2020;117:10?. [CrossRef]
21. Nguyen TM, Phoukham K, Ngo TV. Formulation and quality evaluation of pearl oyster mushroom soup powder supplement with some kinds of legumes and vegetables. Acta Sci Pol Technol Aliment 2020;19:435-43. [CrossRef]
22. Too BC, Tai NV, Thuy NM. Formulation and quality evaluation of noodles with starchy flours containing high levels of resistant starch. Acta Sci Pol Technologia Aliment 2022;21:145-54. [CrossRef]
23. AOAC. Official Methods of Analysis. 18th ed. Arlington, VA:Association of Official Analytical Chemists;2005.
24. FikselováM, Šilhár S, Mare?ek J, Fran?ákováH. Extraction of carrot (
25. Kakubari S, Sakaida K, Asano M, Aramaki Y, Ito H, Yasui A,
26. Wanjuu C, Abong G, Mbogo D, Heck S, Low J, Muzhingi T. The physiochemical properties and shelf-life of orange-fleshed sweet potato puree composite bread. Food Sci Nutr 2018;6:1555-63. [CrossRef]
27. McGee H. McGee on Food and Cooking. London:Hodder and Stroughton;2004. 516-50.
28. Verstrepen KJ, Iserentant D, Malcorps P, Derdelinckx G, Van DijckP, Winderickx J,
29. Sasano Y, Haitani Y, Ohtsu I, Shima J, Takagi H. Prolineaccumulation in baker's yeast enhances high-sucrose stress tolerance andfermentation ability in sweet dough. Int J Food Microbiol 2012;152:40-3. [CrossRef]
30. Bali PS. Bread fabrication. In:Food Production Operations. Oxford, USA:Oxford University Press;2009.
31. Ali A, Shehzad A, Khan MR, Shabbir MA, Amjid MR. Yeast, its types and role in fermentation during bread making process-A. Pak J Food Sci 2012;22:171-9.
32. Zabeti M, Daud WM, ArouaMK. Optimization of the activity of CaO/Al2O3 catalyst for biodiesel production using response surface methodology. Appl Catal A Gen 2009;366:154-9. [CrossRef]
33. Guan X, Yao H. Optimization of viscozyme l-assisted extraction of oat bran protein using response surface methodology. Food Chem 2008;106:345-51. [CrossRef]
34. Puah BP, Jalil J, Attiq A, Kamisah Y. New insights into molecular mechanism behind anti-cancer activities of lycopene. Molecules 2021;26:3888. [CrossRef]
35. Rao AV, Ray MR, Rao LG. Lycopene. Advin Food Nutr Res 2006;51:99-164. [CrossRef]
36. Bezerra MA, Ferreira SL, Novaes CG, Dos Santos AM, Valasques GS, da Mata Cerqueira UM,
37. Campbell AM, Penield MP, Gris World RM. Yeast breads and Quick breads. In:The Experimental Study of Foods. Boston:Houghton Miflir Company;1979.
38. Birch AN, Petersen MA, Hansen ÅS. The aroma profile of wheat bread crumb influenced by yeast concentration and fermentation temperature. LWT Food Sci Technol 2013;50:480-8. https://doi.org/10.1016/j.lwt.2012.08.019




